你可能不知道它,但肯定听说过人类历史上第一颗原子弹
1945年7月16日,世界第一颗原子在美国新墨西哥州阿拉莫戈多附近的沙漠试爆成功,图为核弹引爆后数十秒后的照片。图源:Wikipedia 导读: 2月28日,以色列宣布对伊朗发动“先发制人的打击”。而在本周四,伊朗与美国在瑞士日内瓦举行第三轮间接谈判,核问题是谈判焦点,其中浓缩铀问题更是引发重点关注。 今天,浓缩铀几乎成为核议题的代名词。然而,一个常被忽略的历史事实是:人类历史上第一颗成功试爆的核弹,其核心材料并非铀,而是钚(读作:bù)。钚是人类进入原子时代之后才被大量制造出来的元素。它的知名度虽不如铀,却至关重要。在制造核武器之外,我们更应看到,它是未来人类探索宇宙不可或缺的能量之源。
李研|撰文
20世纪30年代末,战争阴云笼罩着欧洲,一场世界大战一触即发。就在各国加紧军备之际,纳粹统治下的德国科学家奥托·哈恩(Otto Hahn)宣布了一项震惊科学界的发现。
当时科学家普遍认为,放射性元素的衰变只会释放电子、质子或氦核等微小粒子,因此重元素仅会发生轻微的质量变化,并转变为元素周期表中与之相近的元素。然而,当哈恩以中子轰击当时已知原子序数最大的铀(U)原子时,却出乎意料地在衰变产物中检测到了钡(Ba)的存在。钡的原子序数仅为56,远低于铀,这意味着铀原子发生了彻底的分裂。
难道原子核真的会一分为二?这一反常现象让哈恩困惑不已。最终,谜题由他昔日的长期合作伙伴、犹太裔物理学家莉泽·迈特纳(Lise Meitner)通过关键的理论计算破解。迈特纳曾与哈恩在1918年共同发现镤元素(Pa),彼时正因纳粹的迫害流亡瑞典。她以精确的计算证实了哈恩亲眼所见却难以相信的事实。
进一步研究表明,含有过量中子的重铀原子在裂变时,不仅会分裂成两个较轻的原子核,还可能释放出新的中子,进而引发链式反应。更重要的是,这一过程将释放出规模远超普通化学反应的巨大能量。例如,1千克 铀-235裂变产生的能量,就约相当于燃烧1千克煤产生能量的250万倍。
原子核裂变现象一经宣布,立即引发全球科学界的高度重视。
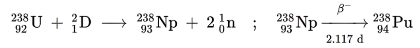
美国物理学家埃德温·麦克米伦(Edwin McMillan)在劳伦斯伯克利国家实验室开展相关实验。在用慢中子轰击铀的过程中,他不仅观察到哈恩所报告的核裂变产物,还敏锐地指出:并非所有铀原子都会发生裂变,其中一部分可能仅吸收中子,从而转变为原子量更大的新元素。这一假说最终得到了实验验证,其研究团队成功分离出与铀性质相近的93号元素。长久以来,原子序数92的铀一直被视为最重的已知元素,而这一发现突破了元素周期表的既有上限。相关成果于1940年发表在《物理评论》(Physical Review)上。
几乎在同一时期,日本物理学家仁科芳雄与化学家木村建次郎利用理化研究所(RIKEN)的回旋加速器也开展过类似的实验。然而,由于当时“锕系元素”的概念尚未确立,他们误认为第93号元素在周期表中属于第7族,因而选择与其化学性质相近的铼(Re)作为载体进行分离。正是这一误判,导致他们未能实现新元素与铀的有效分离,从而与发现第93号元素失之交臂。
1940年,美国尚未正式卷入二战,而欧洲战场已是硝烟弥漫。科学界此时已意识到铀核裂变所蕴含的巨大能量,但制造“原子弹”面临着一个关键难题:铀235在天然铀矿石中只占0.7%,剩下的99.3%是不易裂变的铀238,同位素之间的分离相当困难。在这一背景下,新元素的发现可能为原子弹提供另一种技术路径,因而具有重要的军事战略价值。为此,英国方面曾试图封锁93号元素的相关消息。但讽刺的是,在战火纷飞中真正被成功保守的秘密,竟然只是这个新元素的名字。由于该元素在周期表中紧随以天王星(Uranus)命名的“铀”(Uranium)之后,麦克米伦将其命名为“镎”(Neptunium, Np),对应海王星(Neptune)。这一命名并未在1940年的《物理评论》上披露,直至战后才逐渐为世人所知。
麦克米伦获得的镎-239很不稳定,半衰期不到3天,难以实际应用,更不用说制造设想的“原子弹”了。参与英国核武器计划的埃贡·布雷彻(Egon Bretscher)在1940年预测,镎-239会继续衰变为元素序列中的下一位成员,即94号元素。而第94号元素的真正发现者,是麦克米伦的同事格伦·西奥多·西博格(Glenn Teodor Sjöberg)。他在加州大学伯克利分校利用比中子更重的氘核轰击铀-238,成功从镎-238的衰变产物中分离出了第94号元素。
西博格曾一度认为,这是周期表中最后一个可能存在的元素,所以考虑过诸如“Ultimium”(意为“终极”)或“Extremium”(意为“极尽”)等名称。不过,由于之前第92号元素“铀”得名自天王星(Uranus),第93号元素“镎”以海王星(Neptune)命名,第94号元素最终顺理成章地以当时仍被视作行星的冥王星(Pluto)为基础,被命名为“钚”(Plutonium),简称Pu。
钚是自然界存在的元素中原子序数最高者。在天然铀矿中,铀-238原子捕获其他铀原子衰变释放的中子时,也会产生极微量的钚-239。钚-239的半衰期长达两万多年,相对镎-239稳定的多,人们预测它或许是实现链式反应的关键材料。 这样一种独特元素的发现,本应引发科学家们广泛关注,对其特性进行全方面的研究,但由于美国很快也卷入二战,并全面启动了研发核武器的曼哈顿计划,钚元素的研究也迅速转入了高度机密的军事轨道。制造出足够原子弹爆炸量的钚材料,成为当时科学家唯一关心的目标。 西博格领导的研究团队,是战时唯一知晓94号元素存在的科研团队,推动以该元素制造原子弹的重任自然落在他们的肩上。 1942年12月,在恩里科·费米(Enrico Fermi)的领导下,芝加哥大学建成世界上第一座核反应堆。西博格的实验室也从加州伯克利搬到芝加哥,并被赋予一个低调而隐晦的名称——“冶金实验室”(Metallurgical Laboratory),以掩藏其真实的目的。钚元素的名称也被刻意隐藏。起初,人们用"94号"代替,但由于这个代号显然过于直白,很容易被人猜到。于是化学家们突发奇想改用"铜"作为这个新元素的代号。这个称呼原本相安无事,直到某次实验真的需要使用铜材料,人们又不得不将真正的铜称为"货真价实的铜"(Honest-to-God copper),以避免混淆。 1944年,美国又在靠近华盛顿州里奇兰的汉福德区建造了B反应堆 (B Reactor),主要目的是通过中子活化方式将天然铀转化为钚。如果只是合成微量的钚元素,风险并不大,但随着实验规模达到宏观量级,西博格的团队不得不面对强电离辐射的威胁,简陋的实验室根本不具备防护条件。然而,这些科学家自有对策。他们将新制的钚料装入铅桶,用长杆和铅衬手套抬着穿过街道,转移到一个露天的阳台。众人躲在一堵墙后,透过墙洞观测样品。西博格晚年追忆这段经历时感叹:"天哪,现在回想起来,那方法真是原始得可以。" 原始归原始,他们的实验最终证明钚和铀一样适合制造核弹。 1945年7月16日,被严格保密的94号元素,以极震撼的方式宣告了自己的存在:世界上首枚原子弹在美国阿拉莫戈多(Alamogordo)的荒漠被引爆,其核心正是钚燃料。核爆炸产生的高温,致使现场一座30米高的铁塔化为乌有,并在地面上形成一个巨大的弹坑。 即使是那些亲身参与核试验的科学家们,或许也未曾料到,仅三周后整个世界都将认识“钚”:1945年8月12日,美军将一枚代号为“胖子”的同型核弹投向日本长崎,让整座城市瞬间化为炼狱。 钚元素所吞噬的生命,不仅有长崎的居民,还有几位追求核能奥秘的科学家。 其中,24岁的哈里·达格利恩(Haroutune Daghlian Jr.)致力于通过中子反射技术,将逸散的能量回馈至钚核心,以期降低核弹的临界质量需求。1945年8月的一个深夜,他在无人协助的情况下进行实验。当他将最后一块碳化钨反射砖移向装置时,中子计数器突然发出刺耳警报。数据显示,这块砖一旦就位,系统将立刻进入超临界状态。就在他抽回手臂的瞬间,砖块意外坠落至装置中心,导致核反应瞬间突破临界点,刹那间,实验室充满了灼热的气浪、诡谲的蓝光与致命的伽马射线。为阻止持续链式反应,达格利恩不得不徒手拆解滚烫的碳化钨堆叠结构。 尽管医疗团队火速展开救治,但面对人类史上罕见的严重辐射伤害,所有努力终是徒劳。在经历辐射病带来的剧痛与衰竭后,他陷入深度昏迷。在那块砖从他手中滑落的25天后,这位年轻的核物理学家永远闭上了眼睛。 这起悲剧促使曼哈顿计划全面修订安全规程。新规程不仅要求此类实验必须两人以上协同操作,还强制要求配备声光双重报警的中子监测系统。然而,这些制度防线未能阻挡第二年再次发生的灾难。1946年,达格利恩的同事路易斯·斯洛廷(Louis Slotin)使用同一枚钚核心进行临界实验时,螺丝刀意外滑脱,再次引发了临界状态。危急时刻,斯洛廷本能地掰开了即将闭合的钚半球,阻断了链式反应,但九天后同样死于急性辐射病。这枚连续夺走两条科学家生命的钚球,从此被实验室人员称作“恶魔核心”。 与其他重元素类似,钚也拥有多种同位素。它们的差异,源自原子核中的中子数目不同。在钚的众多同位素中,除了二战时用到的钚-239,其他很多同位素经过特定组合,也同样具备实现核链式反应的潜力。然而,在钚的“家族”中,有一个成员却显得与众不同,用途也与“兄弟”们有天壤之别。那便是钚-238。 钚-238不属于易裂变核素,因此既不能用于制造核武器,也无法作为核电站反应堆的燃料,但它可通过α衰变转化为铀-234,并在此过程中持续释放出可观的热量。每次α衰变释放的能量超过5.5 兆电子伏,仅巴掌大小的一块钚-238,就足以自发升温至五六百摄氏度,从而发出炽热的红光。 热量意味着能源,而α衰变释放的氦核又极易被屏蔽。于是,科学家借助可将热能转化为电能的热电材料,就可以制成放射性同位素热电发生器(RTG),充分利用这块奇特“热石头”所释放的能量。 早在1959年,类似RTG的装置就已问世,不过当时使用的是钋-210。钋-210同样发生易于屏蔽的α衰变,但半衰期仅为138天;相比之下,钚-238的半衰期长达88年,这使其成为远比钋-210持久的稳定热源。 日常生活中,以放射性元素为核心的发电装置并不多见,但在远离太阳的深空,太阳能电池板黯然失色,化学电池也难以为继,RTG 成为唯一可靠的能源,可为深空探测器提供数十年如一日的稳定电力。无论是第一个飞出太阳系的旅行者1号探测器,还是已在火星上漫步13年的好奇号火星车,无不是依靠这颗沉默而炽热的“核能心脏”在持续运转。 值得一提的是,2015年飞抵冥王星的新视野号(New Horizons)深空探测器,也是由10.9千克钚-238氧化物驱动。要知道,钚的名称“Plutonium”正是来源自冥王星(Pluto),而借助源自冥王星之名的元素,人类探测器才得以抵达太阳系的边缘。在众多以天体命名的元素中,这是一段独属于钚的太空传奇。 根据国际易裂变材料专家组2015年的统计,全球钚库存总量约500吨。这些钚主要来自两大部分:核电站反应堆卸出的乏燃料,以及冷战时期核军备竞赛产生的历史遗留。由于20世纪五六十年代密集的核武器试验,还有约数吨的钚被释放到地球生物圈中,成为至今难以消弭的环境印记。 国际原子能机构的评估指出,仅需8千克钚(这一数值已计入武器制造过程中不可避免的材料损耗),就足以制造一枚二战时在长崎投放的核弹。用这个标准衡量,现有钚的库存足够制备6万多枚同型核弹头。 然而,与之形成鲜明对比的是,深空探测所需的高纯度钚-238同位素极为稀缺。这种特殊的同位素无法从乏燃料中直接提取,也难以大规模生产。在美国,冷战时期用于生产核武器的萨凡纳河(Savannah River)基地曾同时承担钚-238的制备,其生产工艺主要是先从核反应堆乏燃料提取镎-237,然后再通过中子活化镎-237获得钚-238,之后还需经过化学处理进行提纯。1988年萨凡纳河基地停产之后,美国航天器所需的钚-238一度完全依赖从俄罗斯进口。目前,为支持NASA的深空探测任务,美国已重启钚-238的本土生产工作,预计在2026年达到每年1.6公斤的产量。 钚,既是危险的化身,也是能量的源泉。从实验室的隐秘研制,到长崎上空的蘑菇云,它曾以毁灭性的力量昭示战争的残酷。在后来的岁月里,它同样推动着人类迈向星辰的征途,为深空探测器提供穿越数十年孤寂旅程的动力。未来,我们如何选择与使用这一元素,将成为对人类责任与远见的持久考验。 作者简介: 李研,化学博士,赛先生专栏作家。目前担任Cell Press旗下Matter&Light 和 Matter期刊的科学编辑。 参考文献:

